Permutations

A permutation is an arrangement of objects from a group, where each object is used only once, and the order of selection matters. In other words, permutations focus on arranging objects in a specific sequence. They are crucial in scenarios where the order of elements plays a role, such as seating arrangements, word formations, or assigning roles in a team.

Watch Video

Total Number of Permutations

In mathematics, the total number of permutations of n distinct objects is given by n! (read as "n factorial"), where:

          n!=n×(n−1)×(n−2)×⋯×1

This formula represents the total number of possible orderings of n unique items.

Example:

With 3 distinct items, say {A, B, C}, the number of possible arrangements is:

          3!=3x2x1=6

The various possible ways are obtained by constructing a tree diagram as follows:

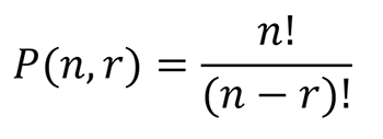
Formula for Permutations

For a scenario where we choose r objects from a total of n distinct items, where the arrangement order matters, the permutation formula is:

          

where:

          • P(n,r) represents the number of permutations of n objects taken r at a time.

          • n number of objects.

          • r number of objects chosen at once.

          • 0 ≤ r ≤ n number of objects chosen at once.

This formula arises because once an item is selected, the number of options for the next position decreases by 1, continuing until r items are selected.

Applications of Permutations

Permutations play a vital role in various fields where the order of arrangement matters. From computer science to business and biology, understanding permutations helps solve complex problems efficiently.

1. Computer Science & Cryptography

• Used in password generation, encryption, and data security.
• Sorting algorithms like Quick Sort and Merge Sort rely on permutations.
• Applied in data compression and network security protocols.

2. Mathematics & Probability

• Helps in solving probability problems where order matters.
• Used in lottery systems and statistical modeling.
• Important in graph theory and shortest path algorithms.

3. Business & Marketing

• Optimizes product arrangements for better sales.
• Used in event scheduling and tournament planning.
• Helps businesses analyze customer behavior patterns.

4. Genetics & Biology

• Essential in DNA sequencing and genetic research.
• Used in drug discovery and epidemiology.
• Helps in studying mutation patterns of viruses.

5. Sports & Gaming

• Used to determine possible match outcomes in tournaments.
• Chess, Rubik's Cube, and card games rely on permutations.
• Helps calculate different ranking scenarios in sports.

6. Logistics & Optimization

• Applied in route optimization for delivery and transportation.
• Helps improve production efficiency in manufacturing processes.
• Airlines use permutations to manage seating arrangements.

Real Life Application Examples

1. Computer Science and Cryptography

A security system uses a 5-character password where each character is unique and can be any one of the 10 digits (0–9). What is the total number of unique passwords that can be generated?

Solution

Since we are selecting and arranging 5 unique digits from a set of 10, this is a permutation problem with n=10 (since there are 10 digits), and r=5 (since the password is 5 digits long).

Answer:There are 30,240 unique passwords that can be generated.

 

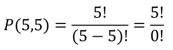
2. Arranging Students for a Photo

Suppose 5 students need to line up for a photo. Given that each student is distinct, what is the total number of unique ways they can line up in a single row?

Solution

Since all students are included, the arrangement simply involves all 5 students. Therefore, n=5 and r=5.

(Note: 0!=1)

Answer:There are 120 unique ways to arrange the students in a line for the photo.

 

3. Player Turn Order

In a game, there are 4 players, and the order in which they play affects the game outcome. How many unique turn orders can be created with these 4 players?

Solution

Since all players are distinct and need to be arranged in sequence, we have n=4 and r=4.

Answer:There are 24 unique turn orders possible for the 4 players.

 

4. Security Code Generation

A lock requires a 3-character security code made up of unique letters from the set {A, B, C, D, E}. How many different security codes can be created?

Solution

Here, we are selecting and arranging 3 unique letters from a set of 5, so n=5 and r=3.

Answer:There are 60 different security codes that can be created.

 

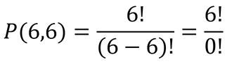
5. Arranging Books on a Shelfr

A student has 6 distinct books and wants to arrange them in a row on a shelf. How many unique arrangements of the books are possible?

Solution

Since the student is arranging all 6 books, this is a permutation problem with n=6 and r=6.

Answer:There are 720 unique arrangements for the books on the shelf.

 

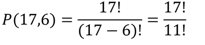
6. Arranging Sculptures in a Gallery

A gallery curator is arranging sculptures along a display shelf. There is room for 6 sculptures to be displayed, and the curator has 17 unique sculptures to choose from. In how many different ways can the curator arrange 6 sculptures along the shelf?

Solution

Since the gallery curator is arranging 6 sculptures, this is a permutation problem with n=17 and r=6.

Answer:There are 8,910,720 unique arrangements for the 6 sculptures on the display shelf.

 

7. Grouped Arrangement for Stage Display

A director wants to arrange actors for a play poster. There are three adults, four teenagers, and two children. If the adults, teenagers, and children must each stand together as separate groups, how many different arrangements can the director create?

Solution

• Since the adults, teenagers, and children are each in separate groups that need to stay together, we can treat each group as a single "block."

• There are three "blocks" (Adults, Teenagers, and Children), which can be arranged in different ways.

          The number of ways to arrange these three blocks is: 3!=6

• Arranging individuals within each group:

                     •Adults: There are 3 adults, which can be arranged among themselves in 3!=6 ways.

                     •Teenagers: There are 4 teenagers, which can be arranged among themselves in 4!=24 ways.

                     •Children: There are 2 children, which can be arranged among themselves in 2!=2 ways.

• The total number of arrangements is the product of all these possibilities:

                    

Answer:There are 1,728 ways for the director to arrange the actors for the poster.

Permutation Power: Mastering Order & Sequences

Permutations: Mastering Order in Arrangements

Permutations are everywhere! They help us solve real-world problems by providing structured ways to count and arrange objects efficiently. Mastering permutations unlocks new possibilities in problem-solving and decision-making!